ANAK2 DIPELAJARI YA....................." FISIKA ITU MUDAH"
Susunan seri hambatan 40 dan kapasitor dengan reaktasi kapasitif 30 dihubungkan dengan sumber arus bolak-balik, tegangan efektif 220V. Tegangan efektif pada resistor adalah…
Susunan seri hambatan 80 dan kapasitor dengan reaktasi kapasitif 60 dihubungkan dengan sumber arus bolak-balik, tegangan efektif 300V. Tegangan efektif pada kapasitor adalah…
Jawaban :
3. Suatu rangkaian R-L-C dipasang pada tegangan bolak-balik yang nilai efektifnya 100 V dan frekuensi 60 Hz. Bila R= 10 , L=26,5 F, maka tegangan di ujung-ujung L adalah…. V
Jawaban :
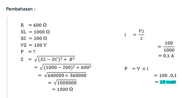
Sebuah hambatan 600 , induktor 1000 dan kapasitor 200 disusun seri. Jika susunan ini dihubungkan dengan sumber tegangan AC 100 V, maka daya rangkaiannya adalah….Watt
Jawaban :
Pada rangkaian seri RC, jika tegangan resistif dan tegangan kapasitif masing-masing adalah 50 V dan 120 V, maka tegangan totalnya adalah ….. V
Jawaban :
Sebuah sumber daya 200 V, 50 Hz dihubungkan dengan resistor murni 400 dan sebuah kapasitor seri. Jika tegangan pada resistor itu 160 V. Tentukan tegangan pada kapasitor itu….
Jawaban :
Sebuah sumber daya 130 V, 50 Hz dihubungkan dengan resistor murni 400 dan sebuah kapasitor seri. Jika tegangan pada resistor itu 50 V. Tentukan reaktasi kapasitor itu….
Jawaban :
Sebuah resistor 20 disusun seri dengan sebuah kapasitor . Rangkaian dihubungkan ke sebuah tegangan sumber yang frekuensinya dapat berubah-ubah. Jika tegangan antara ujung-ujung resistor sama dengan tegangan antara ujung-ujung kapasitor , tentukanlah frekuensi sumber AC tersebut!
Jawaban :
Sebuah kapasitor dengan kapasitas dipasang pada tegangan bolak-balik dengan frekuensi 1000 Hz. Jika pada rangkaian timbul arus listrik 50 mA, maka tegangan listrik pada ujung-ujung kapasitor adalah …. V
Jawaban :
Sebuah kumparan dengan hambatan listrik dapat diabaikan dihubungkan ke sebuah sumber AC 60 V, 400 Hz. Jika arus dalam kumparan adalah 1,2 A, maka induktasi kumparan adalah…
Suatu rangkaian seri R, L, dan C dihubungkan dengan tegangan bolak-balik. Apabila induktansi
 H dan kapasitas kapasitor 25 µF, maka resonansi rangkaian terjadi pada frekuensi ... Hz.
 H dan kapasitas kapasitor 25 µF, maka resonansi rangkaian terjadi pada frekuensi ... Hz.
A. 500
B. 1.000
C. 1.500
D. 2.000
E. 2.500
Jawaban: A
Pembahasan:
Frekuensi resonansi untuk rangkaian RLC terjadi ketika reaktansi induktif sama besar dengan reaktansi kapasitif
Jika sebuah kapasitor dialiri arus bolak-balik maka arus akan mendahului tegangan. Gambarkan grafik gelombang hubungan antara arus dan tegangan yang dihasilkan pada rangkaian kapasitor dan berikan kesimpulan hubungan fase antara V dan I pada grafik gelombang tersebut!
https://soalkimia.com/soal-rangkaian-arus-bolak-balik/



















No comments:
Post a Comment